2021.07.30 - [자료구조 알고리즘] - [알고리즘] 그래프 이론/ 서로소 집합/ 서로소 집합 자료구조/
[알고리즘] 그래프 이론/ 서로소 집합/ 서로소 집합 자료구조/
들어가기 전 DFS/BFS와 최단경로는 모두 그래프 알고리즘의 한 유형으로 볼 수 있다. 그래프란? 노드와 노드 사이에 연결된 간선의 정보를 가지고 있는 자료구조이다. 알고리즘 문제를 접했을 때
devmath.tistory.com
서로소 집합을 활용한 사이클 판별
서로소 집합은 다양한 알고리즘에 사용될 수 있는데, 특히 무방향 그래프 내에서의 사이클을 판별할 때 사용할 수 있다.
사이클 (정리중)
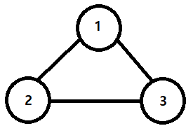
예제
{1, 2, 3}
union 1, 2
union 1, 3
union 2, 3
step 0 (초기 단계)
초기 단계에서는 모든 노드에 대하여 자기 자신을 부모로 부모 테이블을 초기화한다.

| 노드 번호 | 1 | 2 | 3 |
| 부모 | 1 | 2 | 3 |
step 1 (union 1, 2)
간선 (1, 2)를 확인한다.
노드 1의 루트 노드를 찾는다. → 1
노드 2의 루트 노드를 찾는다. → 2
루트 노드가 다르다 = 사이클이 발생하지 않았다. → 1과 2의 합집합(union)을 수행한다.
노드 1과 노드 2의 루트 노드는 1과 2이기 때문에 더 큰 번호에 해당하는 루트 노드 2를 자식 노드로 설정하고, 더 작은 번호에 해당하는 루트 노드 1을 부모 노드로 설정한다.

| 노드 번호 | 1 | 2 | 3 |
| 부모 | 1 | 1 | 3 |
step 2 (union 1, 3)
간선 (1, 3)을 확인한다.
노드 1의 루트 노드를 찾는다. → 1
노드 3의 루트 노드를 찾는다. → 3
루트 노드가 다르다 → 사이클이 발생하지 않았다. → 1과 3의 합집합(union)을 수행한다.
노드 1과 노드 3의 루트 노드는 1과 3이기 때문에 더 큰 번호에 해당하는 루트 노드 3을 자식 노드로 설정하고, 더 작은 번호에 해당하는 루트 노드 1을 부모 노드로 설정한다.

| 노드 번호 | 1 | 2 | 3 |
| 부모 | 1 | 1 | 1 |
step 3 (union 2, 3)
간선 (2, 3)을 확인한다.
노드 2의 루트 노드를 찾는다. → 1
노드 3의 루트 노드를 찾는다. → 1
루트 노드가 같다 → 사이클이 발생하였다.

모든 union 연산 처리 완료
즉, 간선을 확인하는 것만으로 사이클을 판별할 수 있다.
이러한 사이클 판별 알고리즘은 그래프에 포함되어 있는 간선의 개수가 E개일 때 모든 간선을 하나씩 확인하며, 매 간선에 대하여 union 및 find 함수를 호출하는 방식으로 동작한다.
이 알고리즘은 간선에 방향성이 없는 무향 그래프에서만 적용 가능하다.
소스코드
def find_parent(parent, x):
print('find_parent(',parent[x],',',x,')')
# 루트 노드가 아니라면, 루트 노드를 찾을 때까지 재귀적으로 호출
if parent[x] != x:
parent[x] = find_parent(parent, parent[x])
return parent[x]
def union_parent(parent, a, b):
print('union_parent(', a, ',', b, ')')
a = find_parent(parent, a)
b = find_parent(parent, b)
if a < b:
parent[b] = a
print('parent 테이블', parent)
else:
parent[a] = b
print('parent 테이블', parent)
v, e = map(int, input().split())
parent = [0] * (v + 1) # 부모 테이블 초기화
print('parent 테이블', parent)
# 부모 테이블 상에서, 부모를 자기 자신으로 초기화
for i in range(1, v + 1):
parent[i] = i
cycle = False # 사이클 발생 여부
for i in range(e):
a, b = map(int, input().split())
# 사이클이 발생한 경우 종료
if find_parent(parent, a) == find_parent(parent, b):
print('parent 테이블', parent)
cycle = True
break
# 사이클이 발생하지 않았다면 합집합 수행
else:
print('parent 테이블', parent, end='\n\n')
print('사이클이 발생하지 않았기때문에 a=', a, '와 b=', b, '의 합집합 수행')
union_parent(parent, a, b)
if cycle:
print("사이클이 발생했습니다.")
else:
print("사이클이 발생하지 않았습니다.")'자료구조 알고리즘' 카테고리의 다른 글
| [알고리즘] 위상 정렬 (Topology Sort) : 순서가 정해져 있는 정렬 알고리즘 (0) | 2021.08.04 |
|---|---|
| [알고리즘] 신장트리 / 크루스칼 알고리즘 : 최소 신장 트리 알고리즘 (0) | 2021.08.04 |
| [알고리즘] 그래프 이론/ 서로소 집합/ 서로소 집합 자료구조/ (0) | 2021.07.30 |
| [알고리즘] 최단 경로 : 모든 지점에서 다른 모든 지점까지의 최단 경로 / 플로이드 워셜 알고리즘 (Floyd-Warshall Algorithm) / 파이썬 (0) | 2021.07.29 |
| [알고리즘] 소수의 판별 / 약수 / 에라토스테네스의 체 / 파이썬 (0) | 2021.07.28 |