위상 정렬 (Topology Sort)
순서가 정해져 있는 일련의 작업을 차례대로 수행해야 할 때 사용할 수 있는 알고리즘이다. 혹은 방향 그래프의 모든 노드를 '방향성에 거스르지 않도록 순서대로 나열하는 것' 이다.
진입차수 (Indegree)
특정한 노드로 들어오는 간선의 개수
알고리즘
1. 진입차수가 0인 노드를 큐에 넣는다.
2. 큐가 빌 때까지 다음의 과정을 반복한다.
2-1. 큐에서 원소를 꺼내 해당 노드에서 출발하는 간선을 그래프에서 제거한다.
2-2. 새롭게 진입차수가 0이 된 노드를 큐에 넣는다.
이때 모든 원소를 방문하기 전에, 즉 원소가 V번 추출되기 전에 큐가 비어버리면 사이클이 발생한 것이다.
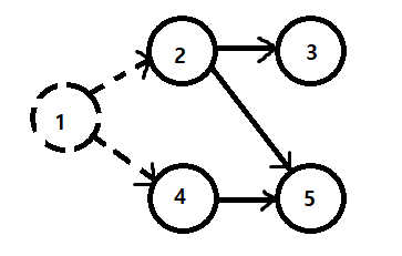
예제

step 0
진입차수가 0인 노드를 큐에 넣는다.
| 노드 | 1 | 2 | 3 | 4 | 5 |
| 진입차수 | 0 | 1 | 1 | 1 | 2 |
큐
| 노드1 |
step 1
큐에 들어 있는 노드1을 꺼낸다.
노드 1과 연결되어 있는 간선들을 제거한다.

노드 2와 노드 4의 진입차수가 0이 된다.
노드 2와 노드 4를 큐에 삽입한다. (무엇을 먼저 넣든 상관없다.)
| 노드 | 1 | 2 | 3 | 4 | 5 |
| 진입차수 | 0 | 0 | 1 | 0 | 2 |
큐
| 노드2 노드4 |
step 2
큐에 들어 있는 노드2를 꺼낸다.
노드 2와 연결되어 있는 간선들을 제거한다.

노드 3의 진입차수가 0이 된다.
노드 3을 큐에 삽입한다. (무엇을 먼저 넣든 상관없다.)
| 노드 | 1 | 2 | 3 | 4 | 5 |
| 진입차수 | 0 | 0 | 0 | 0 | 1 |
큐
| 노드4 노드3 |
step 3
큐에 들어 있는 노드 4를 꺼낸다.
노드 4와 연결되어 있는 간선들을 제거한다.

노드 5의 진입차수가 0이 된다.
노드 5를 큐에 삽입한다. (무엇을 먼저 넣든 상관없다.)
| 노드 | 1 | 2 | 3 | 4 | 5 |
| 진입차수 | 0 | 0 | 0 | 0 | 0 |
큐
| 노드3 노드5 |
step 4
큐에 들어 있는 노드 3을 꺼낸다.

새롭게 진입차수가 0이 되는 노드가 없으므로 그냥 넘어간다.
큐
| 노드5 |
step 5
큐에 들어 있는 노드 5를 꺼낸다.

새롭게 진입차수가 0이 되는 노드가 없으므로 그냥 넘어간다.
큐
큐가 비었으므로 종료
위 과정을 수행하는 동안 큐에서 빠져나간 노드를 순서대로 출력하면, 그것이 바로 위상 정렬을 수행한 결과가 된다.
만약 한 단계에서 큐에 새롭게 들어가는 원소가 2개 이상인 경우가 있다면, 여러 가지의 답이 존재할 수 있다.
위의 예시에서는
1 - 2 - 4 - 3 - 5
1 - 4 - 2 - 3 - 5
1 - 4 - 2 - 5 - 3
등이 답이 될 수 있다.
소스코드
from collections import deque
# 노드 개수, 간선 개수
v, e = map(int, input().split())
# 진입차수 테이블 0으로 초기화
indegree = [0] * (v + 1)
# 간선 데이터
graph = [[] for i in range(v + 1)]
for _ in range(e):
a, b = map(int, input().split())
graph[a].append(b) # 노드 a에서 b로 이동 가능
# 진입차수를 1 증가
indegree[b] += 1
# 위상 정렬
def topology_sort():
result = []
q = deque()
# 처음 시작할 때는 진입차수가 0인 노드를 큐에 삽입
for i in range(1, v + 1):
if indegree[i] == 0:
q.append(i)
# 큐가 빌 때까지 반복
while q:
now = q.popleft()
result.append(now)
# 해당 원소와 연결된 노드들의 진입차수에서 1 빼기
for i in graph[now]:
indegree[i] -= 1
# 새롭게 진입차수가 0이 되는 노드를 큐에 삽입
if indegree[i] == 0:
q.append(i)
# 결과 출력
for i in result:
print(i, end=' ')
topology_sort()
입력 예제
7 8
1 2
1 5
2 3
2 6
3 4
4 7
5 6
6 4
출력 예제
1 2 5 3 6 4 7
시간복잡도
O(V + E )
출처
나동빈, 『이것이 취업을 위한 코딩테스트다 with 파이썬』, 한빛미디어(주), 2020년
'자료구조 알고리즘' 카테고리의 다른 글
| [알고리즘] 신장트리 / 크루스칼 알고리즘 : 최소 신장 트리 알고리즘 (0) | 2021.08.04 |
|---|---|
| [그래프 이론] 서로소 집합 자료구조/ /서로소 집합을 활용한 사이클 판별 (0) | 2021.08.03 |
| [알고리즘] 그래프 이론/ 서로소 집합/ 서로소 집합 자료구조/ (0) | 2021.07.30 |
| [알고리즘] 최단 경로 : 모든 지점에서 다른 모든 지점까지의 최단 경로 / 플로이드 워셜 알고리즘 (Floyd-Warshall Algorithm) / 파이썬 (0) | 2021.07.29 |
| [알고리즘] 소수의 판별 / 약수 / 에라토스테네스의 체 / 파이썬 (0) | 2021.07.28 |